Effects of adsorption and viscous fingering instability on the dispersion and the form of the peaks in liquid chromatography
Liquid chromatography is a flow based separation method where, a given fluid (called eluent) displaces a miscible sample consisting of a solvent in which a mixture of solutes (also named analytes) is dissolved. The analytes are separated during the displacement because of the selective adsorption on the porous matrix and/or selective transport properties. The fluid flow in a porous medium and the adsorption of the solutes play an important role in these separation techniques. The solutes are retained on the stationary phase of the column following linear or non-linear adsorption isotherm. In addition to this, when the viscosity of the sample injected in a liquid chromatographic column is different from that of the carrier liquid, a hydrodynamic instability called viscous fingering occurs at that sample/carrier interface where the more viscous fluid is displaced by the less viscous one. These two phenomena sometimes result in significant peak broadening and distortion of the shape. We undertook a numerical study of these phenomena in analytical and preparative liquid chromatography. Depending on the parameters involved, the evolution of the distribution of the analyte along the column is observed to show different features for instance : bimodality (two peaks), shock layer, and rarefaction.
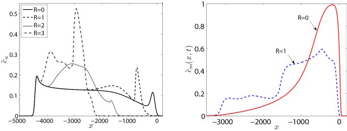
Figure : (left) Linear adsorption with solvent strength effect showing bimodal and distorted peaks. (right) Non-linear adsorption of Langmuir type showing rarefaction and shock layer formation.








